Exploring Alternatives to Polyacrylamide: A Comparative Study of Novel Polymers in the Flocculation and Dewatering of Iron Ore Tailings
Abstract
1. Introduction
2. Materials and Methods
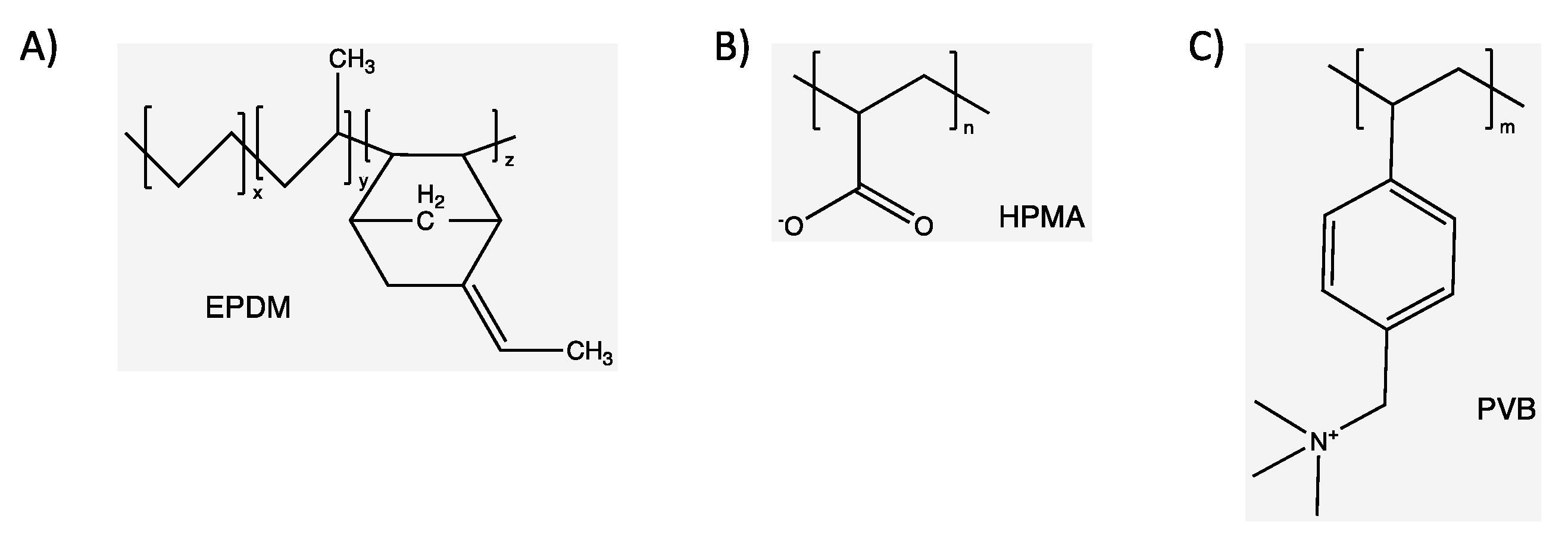
2.1. Materials
2.2. Methods
2.2.1. Handling and Drying the Tailing Samples
2.2.2. Suspension Preparation for Flocculation Tests
2.2.3. Polymer Characterization
2.2.4. Tailings Characterization
2.2.5. Flocculation Tests
Multiple Light Scattering Analysis
Initial Settling Rate (ISR)
Capillary Suction Time (CST)
Zeta Potential Measurements
3. Results and Discussion
3.1. Polymer Characterization
3.2. Tailing Characterization
3.2.1. Solid Content
3.2.2. Particle Size Distribution
3.2.3. Chemical and Mineralogical Composition
3.2.4. Scanning Electron Microscopy
3.2.5. Chemical Composition of the Aqueous Phase
3.2.6. Zeta Potential Measurements
3.3. Flocculation Tests
3.3.1. Effect on Initial Settling Rate (ISR)
3.3.2. Effect on Transmission (%) and Backscattering (%)
3.3.3. Solid Content
3.3.4. Capillary Suction Time (CST)
3.3.5. Zeta Potential Measurement
3.3.6. A Comparison with Different Polymer Flocculants
4. Conclusions
Author Contributions
Funding
Institutional Review Board Statement
Data Availability Statement
Acknowledgments
Conflicts of Interest
References
- Laskowski, J.S.; Ralston, J. Colloid Chemistry in Mineral Processing; Elsevier Science: Amsterdam, The Netherlands, 2015; ISBN 9781483290911. [Google Scholar]
- Nanda, D.; Mandre, N.R. Mechanism of Polymeric Adsorption in Selective Flocculation of Low-Grade Iron Ore. Sep. Sci. Technol. 2021, 56, 68–77. [Google Scholar] [CrossRef]
- Wang, C.; Harbottle, D.; Liu, Q.; Xu, Z. Current State of Fine Mineral Tailings Treatment: A Critical Review on Theory and Practice. Miner. Eng. 2014, 58, 113–131. [Google Scholar] [CrossRef]
- Pattanaik, A. Application of Colloids and Its Relevance in Mineral Engineering; Rashed, R.V.E.-M.N., Ed.; IntechOpen: Rijeka, Croatia, 2021; pp. 155–164. ISBN 978-1-83962-979-2. [Google Scholar]
- Wills, B.A.; Napier-Munn, T. 12—Froth Flotation; Wills, B.A., Napier-Munn, T.B.T.-W.M.P.T., Seventh, E., Eds.; Butterworth-Heinemann: Oxford, UK, 2005; pp. 267–352. ISBN 978-0-7506-4450-1. [Google Scholar]
- Li, H.; Long, J.; Xu, Z.; Masliyah, J.H. Effect of Molecular Weight and Charge Density on the Performance of Polyacrylamide in Low-Grade Oil Sand Ore Processing. Can. J. Chem. Eng. 2008, 86, 177–185. [Google Scholar] [CrossRef]
- Liang, G.; Zhao, Q.; Liu, B.; Du, Z.; Xia, X. Treatment and Reuse of Process Water with High Suspended Solids in Low-Grade Iron Ore Dressing. J. Clean. Prod. 2021, 278, 123493. [Google Scholar] [CrossRef]
- Edraki, M.; Baumgartl, T.; Manlapig, E.; Bradshaw, D.; Franks, D.M.; Moran, C.J. Designing Mine Tailings for Better Environmental, Social and Economic Outcomes: A Review of Alternative Approaches. J. Clean. Prod. 2014, 84, 411–420. [Google Scholar] [CrossRef]
- Hogg, R. Flocculation and Dewatering. Int. J. Miner. Process. 2000, 58, 223–236. [Google Scholar] [CrossRef]
- Reis, L.G.; Oliveira, R.S.; Palhares, T.N.; Spinelli, L.S.; Lucas, E.F.; Vedoy, D.R.L.; Asare, E.; Soares, J.B.P. Using Acrylamide/Propylene Oxide Copolymers to Dewater and Densify Mature Fine Tailings. Miner. Eng. 2016, 95, 29–39. [Google Scholar] [CrossRef]
- Hripko, R.; Vajihinejad, V.; LopesMotta, F.; Soares, J.B.P. Enhanced Flocculation of Oil Sands Mature Fine Tailings Using Hydrophobically Modified Polyacrylamide Copolymers. Glob. Chall. 2018, 2, 1700135. [Google Scholar] [CrossRef]
- Bazoubandi, B.; Soares, J.B.P. Amylopectin-Graft-Polyacrylamide for the Flocculation and Dewatering of Oil Sands Tailings. Miner. Eng. 2020, 148, 106196. [Google Scholar] [CrossRef]
- Vajihinejad, V.; Gumfekar, S.P.; Bazoubandi, B.; Rostami Najafabadi, Z.; Soares, J.B.P. Water Soluble Polymer Flocculants: Synthesis, Characterization, and Performance Assessment. Macromol. Mater. Eng. 2019, 304. [Google Scholar] [CrossRef]
- Yi, L.; Li, K.Z.; Liu, D.X. Degradation of Polyacrylamide: A Review. Adv. Mater. Res. 2013, 800, 411–416. [Google Scholar] [CrossRef]
- Levitt, D.B.; Pope, G.A.; Jouenne, S. Chemical Degradation of Polyacrylamide Polymers under Alkaline Conditions. SPE Reserv. Eval. Eng. 2011, 14, 281–286. [Google Scholar] [CrossRef]
- Nasser, M.S.; James, A.E. Effect of Polyacrylamide Polymers on Floc Size and Rheological Behaviour of Kaolinite Suspensions. Colloids Surfaces A Physicochem. Eng. Asp. 2007, 301, 311–322. [Google Scholar] [CrossRef]
- Gumfekar, S.P.; Vajihinejad, V.; Soares, J.B.P. Advanced Polymer Flocculants for Solid–Liquid Separation in Oil Sands Tailings. Macromol. Rapid Commun. 2019, 40, 1800644. [Google Scholar] [CrossRef]
- Abbasi Moud, A. Polymer Based Flocculants: Review of Water Purification Applications. J. Water Process Eng. 2022, 48, 102938. [Google Scholar] [CrossRef]
- Galeša, K.; Bren, U.; Kranjc, A.; Mavri, J. Carcinogenicity of Acrylamide: A Computational Study. J. Agric. Food Chem. 2008, 56, 8720–8727. [Google Scholar] [CrossRef] [PubMed]
- Xu, R.; Zou, W.; Wang, T.; Huang, J.; Zhang, Z.; Xu, C. Adsorption and Interaction Mechanisms of Chi-g-P(AM-DMDAAC) Assisted Settling of Kaolinite in a Two-Step Flocculation Process. Sci. Total Environ. 2022, 816, 151576. [Google Scholar] [CrossRef]
- Dubey, A.; Patra, A.S.; Sarkar, A.N.; Basu, A.; Tripathy, S.K.; Mukherjee, A.K.; Bhatnagar, A. Synthesis of a Copolymeric System and Its Flocculation Performance for Iron Ore Tailings. Miner. Eng. 2021, 165, 106848. [Google Scholar] [CrossRef]
- Rostami Najafabadi, Z.; Soares, J.B.P. Flocculation and Dewatering of Oil Sands Tailings with a Novel Functionalized Polyolefin Flocculant. Sep. Purif. Technol. 2021, 274, 119018. [Google Scholar] [CrossRef]
- Nguyen, B.; Soares, J.B.P. Effect of the Branching Morphology of a Cationic Polymer Flocculant Synthesized by Controlled Reversible-Deactivation Radical Polymerization on the Flocculation and Dewatering of Dilute Mature Fine Tailings. Can. J. Chem. Eng. 2022, 100, 790–799. [Google Scholar] [CrossRef]
- Kokhanovsky, A.A.; Weichert, R. Multiple Light Scattering in Laser Particle Sizing. Appl. Opt. 2001, 40, 1507. [Google Scholar] [CrossRef]
- Olatunji, O.N.; Du, J.; Hintz, W.; Tomas, J. Application of Particle Sedimentation Analysis in Sterically-Stabilized TiO2 Particles Stability Assessment. Adv. Powder Technol. 2016, 27, 1325–1336. [Google Scholar] [CrossRef]
- Mengual, O.; Meunier, G.; Cayre, I.; Puech, K.; Snabre, P. Characterisation of Instability of Concentrated Dispersions by a New Optical Analyser: The TURBISCAN MA 1000. Colloids Surfaces A Physicochem. Eng. Asp. 1999, 152, 111–123. [Google Scholar] [CrossRef]
- Formulaction. Turbiscan Stability Scale-The Stability Criteria and Correlation to Visual Observation; Formulaction: Toulouse, France, 2019. [Google Scholar]
- Lin-Vien, D.; Colthup, N.B.; Fateley, W.G.; Grasselli, J.G. (Eds.) APPENDIX 3—A Summary of Characteristic Raman and Infrared Frequencies. In The Handbook of Infrared and Raman Characteristic Frequencies of Organic Molecules; Academic Press: San Diego, CA, USA, 1991; pp. 477–490. ISBN 978-0-12-451160-6. [Google Scholar]
- Dentel, S.K.; Abu-Orf, M.M.; Walker, C.A. Optimization of Slurry Flocculation and Dewatering Based on Electrokinetic and Rheological Phenomena. Chem. Eng. J. 2000, 80, 65–72. [Google Scholar] [CrossRef]
- Cobbledick, J.; Zhang, V.; Rollings-Scattergood, S.; Latulippe, D.R. Investigation of the Role of Flocculation Conditions in Recuperative Thickening on Dewatering Performance and Biogas Production. Environ. Technol. 2017, 38, 2650–2660. [Google Scholar] [CrossRef]
- LaRue, R.J.; Cobbledick, J.; Aubry, N.; Cranston, E.D.; Latulippe, D.R. The Microscale Flocculation Test (MFT)—A High-Throughput Technique for Optimizing Separation Performance. Chem. Eng. Res. Des. 2016, 105, 85–93. [Google Scholar] [CrossRef]
- Abu-Zreig, M.; Al-Sharif, M.; Amayreh, J. Erosion Control of Arid Land in Jordan with Two Anionic Polyacrylamides. Arid Land Res. Manag. 2007, 21, 315–328. [Google Scholar] [CrossRef]
- Gumfekar, S.P.; Rooney, T.R.; Hutchinson, R.A.; Soares, J.B.P. Dewatering Oil Sands Tailings with Degradable Polymer Flocculants. ACS Appl. Mater. Interfaces 2017, 9, 36290–36300. [Google Scholar] [CrossRef] [PubMed]
- Osborn, I. Application of Temperature-Responsive Polymers to Oil Sands Tailings Management. Master’s Thesis, University of Alberta, Edmonton, AB, Canada, 2015. [Google Scholar]
- Wang, S. Understanding Stability of Water-in-Diluted Bitumen Emulsions by Colloidal Force Measurements. Ph.D. Thesis, University of Alberta, Edmonton, AB, Canada, 2011. [Google Scholar]
- Dash, M.; Dwari, R.K.; Biswal, S.K.; Reddy, P.S.R.R.; Chattopadhyay, P.; Mishra, B.K. Studies on the Effect of Flocculant Adsorption on the Dewatering of Iron Ore Tailings. Chem. Eng. J. 2011, 173, 318–325. [Google Scholar] [CrossRef]
- Nanda, D.; Mandre, N.R. Studies on Performance Evaluation of Modified Polymer on Iron Ore Fines by Selective Flocculation Process. J. Sustain. Metall. 2022, 8, 488–500. [Google Scholar] [CrossRef]
- Gomes, M.A.; Pereira, C.A.; Peres, A.E.C. Caracterização Tecnológica de Rejeito de Minério de Ferro. Master’s Thesis, Universidade Federal de Ouro Preto, Ouro Preto, Brazil, 2011. [Google Scholar]
- Andrade, L.C.R. Caracterização de Rejeitos de Mineração de Ferro, in Natura e Segregados, Para Aplicação Como Material de Construção Civil. Ph.D. Thesis, Universidade Federal de Viçosa, Viçosa, Brazil, 2014. [Google Scholar]
- Addai-Mensah, J.; Ralston, J. Interfacial Chemistry and Particle Interactions and Their Impact upon the Dewatering Behaviour of Iron Oxide Dispersions. Hydrometallurgy 2004, 74, 221–231. [Google Scholar] [CrossRef]
- Konduri, M.K.R.; Fatehi, P. Influence of PH and Ionic Strength on Flocculation of Clay Suspensions with Cationic Xylan Copolymer. Colloids Surfaces A Physicochem. Eng. Asp. 2017, 530, 20–32. [Google Scholar] [CrossRef]
- Grilo, C.F.; Chassagne, C.; Quaresma, V.d.S.; van Kan, P.J.M.; Bastos, A.C. The Role of Charge Reversal of Iron Ore Tailing Sludge on the Flocculation Tendency of Sediments in Marine Environment. Appl. Geochem. 2020, 117, 104606. [Google Scholar] [CrossRef]
- Vidyadhar, A.; Kumari, N.; Bhagat, R.P. Adsorption Mechanism of Mixed Cationic/Anionic Collectors in Quartz-Hematite Flotation System. Miner. Process. Extr. Metall. Rev. 2014, 35, 117–125. [Google Scholar] [CrossRef]
- Lakshmipathiraj, P.; Narasimhan, B.R.V.; Prabhakar, S.; Bhaskar Raju, G. Adsorption of Arsenate on Synthetic Goethite from Aqueous Solutions. J. Hazard. Mater. 2006, 136, 281–287. [Google Scholar] [CrossRef]
- Shrimali, K.; Jin, J.; Hassas, B.V.; Wang, X.; Miller, J.D. The Surface State of Hematite and Its Wetting Characteristics. J. Colloid Interface Sci. 2016, 477, 16–24. [Google Scholar] [CrossRef]
- Pan, Z.; Somasundaran, P.; Turro, N.J.; Jockusch, S. Interactions of Cationic Dendrimers with Hematite Mineral. Colloids Surfaces A Physicochem. Eng. Asp. 2004, 238, 123–126. [Google Scholar] [CrossRef]
- Kosmulski, M. The PH Dependent Surface Charging and Points of Zero Charge. IX. Update. Adv. Colloid Interface Sci. 2021, 296, 102519. [Google Scholar] [CrossRef]
- Bahmani-Ghaedi, A.; Hassanzadeh, A.; Sam, A.; Entezari-Zarandi, A. The Effect of Residual Flocculants in the Circulating Water on Dewatering of Gol-e-Gohar Iron Ore. Miner. Eng. 2022, 179, 107440. [Google Scholar] [CrossRef]
- Witham, M.I.; Grabsch, A.F.; Owen, A.T.; Fawell, P.D. The Effect of Cations on the Activity of Anionic Polyacrylamide Flocculant Solutions. Int. J. Miner. Process. 2012, 114–117, 51–62. [Google Scholar] [CrossRef]
- Pearse, M.J. Historical Use and Future Development of Chemicals for Solid–Liquid Separation in the Mineral Processing Industry. Miner. Eng. 2003, 16, 103–108. [Google Scholar] [CrossRef]
- Wang, S. Fundamental Study on Polymer Flocculation Behavior in Saline Solutions. Master’s Thesis, University of Alberta, Edmonton, AB, Canada, 2014. [Google Scholar]
- Nittala, A.K. Smart Polymers as Flocculants for Oil Sands Tailings Treatment. Master’s Thesis, University of Alberta, Edmonton, AB, Canada, 2017. [Google Scholar]
- Bolto, B.; Gregory, J. Organic Polyelectrolytes in Water Treatment. Water Res. 2007, 41, 2301–2324. [Google Scholar] [CrossRef] [PubMed]
- Gumfekar, S.P.; Soares, J.B.P. Polymer Reaction Engineering Tools to Design Multifunctional Polymer Flocculants. Chemosphere 2018, 210, 156–165. [Google Scholar] [CrossRef]
- Botha, L.; Davey, S.; Swarnakar, A.K.; Soares, J.B.P.; Nguyen, B.; Rivard, E. Flocculation of Oil Sands Tailings by Hyperbranched Functionalized Polyethylenes (HB f PE). Miner. Eng. 2017, 108, 71–82. [Google Scholar] [CrossRef]
- Lee, C.H.; Liu, J.C. Sludge Dewaterability and Floc Structure in Dual Polymer Conditioning. Adv. Environ. Res. 2001, 5, 129–136. [Google Scholar] [CrossRef]
- Botha, L.; Soares, J.B.P. The In Fl Uence of Tailings Composition on Flocculation. Can. J. Chem. Eng. 2015, 93, 1514–1523. [Google Scholar] [CrossRef]
- Lee, L.T.; Somasundaran, P. Adsorption of Polyacrylamide on Oxide Minerals. Langmuir 1989, 5, 854–860. [Google Scholar] [CrossRef]
- McGuire, M.J.; Addai-Mensah, J.; Bremmell, K.E. The Effect of Polymer Structure Type, PH and Shear on the Interfacial Chemistry, Rheology and Dewaterability of Model Iron Oxide Dispersions. Colloids Surfaces A Physicochem. Eng. Asp. 2006, 275, 153–160. [Google Scholar] [CrossRef]
- Mpofu, P. Surface Chemistry and Improved Dewatering of Clay Dispersions. Doctoral Dissertation, University of South Australia, Adelaide, Australia, 2003. [Google Scholar]
- Kanungo, S.B. Effect of Some Commercial Flocculating Agents on Settling and Filtration Rates of Low Grade, Fragile Manganese Ores of Andhra Pradesh. Indian J. Chem. Technol. 2005, 12, 550–558. [Google Scholar]




















| Flocculant | Mw (MDa) | Đ |
|---|---|---|
| PAM1 | 5.95 | 1.11 |
| PAM2 | 12.49 | 1.81 |
| Phase | Solid Content (wt.%) |
|---|---|
| Suspended phase of the received tailings | 11.8 ± 1.4 |
| Sedimented phase of the prepared 60 wt.% tailing | 76.8 ± 0.9 |
| Suspended phase of the prepared 60 wt.% tailing | 17.2 ± 1.3 |
| Compound | Composition (wt.%) | |
|---|---|---|
| Sediment | Colloidal Suspension | |
| Fe | 44.34 | 47.7 |
| SiO2 | 29.72 | 3.54 |
| Al2O3 | 2.58 | 7.94 |
| P | 0.06 | 0.345 |
| Mn | 0.11 | 0.7 |
| TiO2 | 0.11 | 0.48 |
| CaO | <0.10 | <0.10 |
| MgO | <0.10 | <0.10 |
| Na2O | <0.10 | 1.96 |
| K2O | <0.10 | <0.10 |
| Cr2O3 | <0.10 | <0.10 |
| LF | 2.74 | 15.3 |
Disclaimer/Publisher’s Note: The statements, opinions and data contained in all publications are solely those of the individual author(s) and contributor(s) and not of MDPI and/or the editor(s). MDPI and/or the editor(s) disclaim responsibility for any injury to people or property resulting from any ideas, methods, instructions or products referred to in the content. |
© 2023 by the authors. Licensee MDPI, Basel, Switzerland. This article is an open access article distributed under the terms and conditions of the Creative Commons Attribution (CC BY) license (https://creativecommons.org/licenses/by/4.0/).
Share and Cite
Zago, G.P.; Giudici, R.; Soares, J.B.P. Exploring Alternatives to Polyacrylamide: A Comparative Study of Novel Polymers in the Flocculation and Dewatering of Iron Ore Tailings. Polymers 2023, 15, 3019. https://doi.org/10.3390/polym15143019
Zago GP, Giudici R, Soares JBP. Exploring Alternatives to Polyacrylamide: A Comparative Study of Novel Polymers in the Flocculation and Dewatering of Iron Ore Tailings. Polymers. 2023; 15(14):3019. https://doi.org/10.3390/polym15143019
Chicago/Turabian StyleZago, Gustavo P., Reinaldo Giudici, and João B. P. Soares. 2023. "Exploring Alternatives to Polyacrylamide: A Comparative Study of Novel Polymers in the Flocculation and Dewatering of Iron Ore Tailings" Polymers 15, no. 14: 3019. https://doi.org/10.3390/polym15143019
APA StyleZago, G. P., Giudici, R., & Soares, J. B. P. (2023). Exploring Alternatives to Polyacrylamide: A Comparative Study of Novel Polymers in the Flocculation and Dewatering of Iron Ore Tailings. Polymers, 15(14), 3019. https://doi.org/10.3390/polym15143019

